
Määräaikainen Joustosähkö
Valitse Joustosähkö, kun haluat määräaikaisen sähkösopimuksen hintaturvan ja samalla pörssisähkön jouston kulutusvaikutuksen avulla. Joustosähkö on määräaikainen sähkösopimus, jossa on perusmaksu sekä kiinteä sähkön lähtöhinta/kWh, jonka päälle tulee joko säästöä tai lisähintaa omasta kulutuksestasi riippuen.
Joustosähkö-sopimuksemme
Miten sopimuksen hinta muodostuu?
Joustosähkö rakentuu kolmesta palikasta
- kiinteä sähkön lähtöhinta (snt/kWh)
- kiinteä perusmaksu (€/kk)
- vaihteleva kulutusvaikutus (+/- snt/kWh)
Lähtöhinta sekä perusmaksu ovat kiinteitä elementtejä, eivätkä siis muutu sopimuskauden aikana. Sinun lopullinen sähkön hintasi on lähtöhinta + kulutusvaikutus.
Kulutusvaikutus muodostuu, kun sähkönkulutuksen hintoja verrataan pörssisähkön kuukausikeskihintaan. Riippuen siitä, miten ajoitat sähkönkulutustasi suhteessa pörssisähkön kuukausikeskihintaan, kulutusvaikutuksesi laskee tai nostaa sähkösi hintaa
Kulutusvaikutus nostaa sähkösi kuukausihintaa, jos käytät sähköä eniten silloin, kun pörssisähkön hinta on kuukausikeskiarvoa korkeampi. Vuorovaikutteisesti kulutusvaikutus taas laskee sähkösi kuukausihintaa, jos käytät sähköä eniten silloin, kun pörssisähkön hinta on kuukausikeskiarvoa edullisempaa.
Huom. Sopimuksen voi tehdä korkeintaan 90 päivää ennen sen alkamista.

Kulutusvaikutus ei ole kiinteä hinta
Kulutusvaikutuksesi vaihtelee kuukaudesta toiseen eli se ei ole kiinteä. Olemme havainneet asiakkaidemme kulutusta tarkkailemalla vaihteluvälin olevan useimmiten noin +/- 3 snt/kWh.
Mitään ylä- tai alarajaa mahdolliselle kulutusvaikutukselle ei kuitenkaan ole. Yhtenä kuukautena se voi olla -4 snt/kWh, jos olet käyttänyt sähköä edullisina aikajaksoina ja seuraavana, jos olet käyttänyt sähköä erilailla verrattuna edelliseen kuukauteen, se voi olla + 3 snt/kWh. Kulutusvaikutus määräytyy aina jälkikäteen laskutusvaiheessa kunkin mittausjakson sähkönkulutuksen sekä vastaavien aikajaksojen pörssisähkön hintojen perusteella.
Kulutusvaikutus määräytyy sen mukaan, miten hyvin pystyt painottamaan kulutustasi suhteessa kuukauden keskihintaan.
Kaikki päivät eivät ole samanarvoisia
Yleisesti sähkön käyttö edullisilla kellonaikoina pienentää kulutusvaikutusta. On kuitenkin hyvä ymmärtää, että vaikka painottaisit kulutustasi vuorokauden edullisille ajoille, yhden vuorokauden edulliset kellonajat voivat olla suhteessa kalliita muiden päivien edullisiin vastaaviin aikoihin. Hintoja tarkastellaan kuukausitasolla, jolloin kuukauden keskihintaan vaikuttaa myös kalliiden päivien hinnat. Jos tilanne on toisin päin, ja sähkö muutoin kallista, mutta joinain päivinä hyvin edullista (esim. negatiivista), se toimii myös toisin päin.
Voit hyötyä halvoista päivistä mutta kannat myös pienen riskin kalliista päivistä. Riski on kuitenkin pienempi kuin pörssisähkössä.
Kulutuslaskuri – testaa oma joustosi
Kulutuslaskurillamme pääset testaamaan millaista joustoa sähkön hintaan juuri sinun taloudessasi voisi Joustosähköllä saada. Kulutuslaskurin antamat lukevat ovat arvioita, jotka perustuvat todellisten esimerkkikohteiden keskimääräiseen kulutukseen. Keskimäärin asiakkaidemme kulutusvaikutus vuonna 2023 oli +0,13 snt/kWh.
Joustosähkön hinta rakentuu kolmesta eri osasta
- Kiinteä sähkön lähtöhinta (snt/kWh)
eli se sopimuksella mainittu hinta sähkölle, mistä maksat kulutuksesi mukaan - Kiinteä perusmaksu (€/kk)
eli muuttumaton kuukausimaksu, joka pysyy samana kulutuksesta riippumatta - Vaihteleva kulutusvaikutus (+/- snt/kWh)
eli pörssisähkön hintojen ja omien kulutustottumustesi mukaan muuttuva osa, joka nostaa tai laskee maksamaasi sähkönhintaa sen mukaan miten sähköä käytät

Miten voit hyötyä Joustosähköstä?
- Seuraa pörssisähkön hintavaihteluja Keravan Energia -sovelluksesta, jotta tiedät milloin sähkö on halpaa ja milloin kallista.
- Seuraa sähkön käyttöäsi, jotta tiedät milloin normaalisti kulutat eniten sähköä. Silloin voit helpommin siirtää kulutustasi niille kellonajoille, jotka ovat halvempia.
Joustosähkö on määräaikainen sähkösopimus, jossa on pörssisähkön ominaisuuksia
Joustosähkö on turvallinen ja vakaa vaihtoehto, koska sen perusperiaate on määräaikainen sähkösopimus. Lähtöhinta perustuu johdannaispörssiin ostettuun sähköön kuten kaikissa normaaleissa määräaikaisissa sähkösopimuksissa. Se tarkoittaa, että olemme ostaneet sinun arvioidun vuosikulutuksesi määrän sähköä etukäteen koko sopimusajalle tiettyyn hintaan. Määräaikaisessa sähkösopimuksessa sähkön hinta/kWh pysyy samana koko sopimusajan, ja vaihtelut pohjoismaisessa sähköpörssissä eivät vaikuta hintaan. Tämän takia määräaikainen sähkösopimus on usein suosittu talouksissa, joissa on pakko pystyä ennakoimaan sähkökuluja.
Joustosähkössä sähköpörssin vaihtelevalla hintatasolla ei ole vaikutusta Joustosähkön kiinteään lähtöhintaan. Ainoastaan oma kulutuksesi – eli käytätkö sähköä kuukauden keskihintaa edullisemmilla vai kalliimmilla kellonajoilla – vaikuttaa sähkösi hintaan. Tätä kutsutaan kulutusvaikutukseksi.
Kulutusvaikutus – mitä se tarkoittaa ja miten toimii?
Kulutusvaikutus, myös kutsuttu käyttövaikutukseksi tai profiilikuluksi (rakkaalla lapsella on monta nimeä), tarkoittaa sitä, että lopulliseen maksamaasi sähkönhintaan vaikuttaa sinun oma sähkönkäyttösi. Sähkön lähtöhinta on kiinteä, mutta siihen voi tulla hieman lisää hintaa tai se voi alentua, riippuen siitä miten olet sähköä käyttänyt. Sinun kulutuksesi erotus muihin sähkönkäyttäjiin verrattuna on sinun kulutusvaikutuksesi.
Kulutusvaikutus ja sähköpörssi Nord Pool
Kulutusvaikutuksen tuoma hyöty tulee siitä, että sinä käytät sähköä silloin kun se on halpaa sähköpörssi Nord Poolissa. Ero normaaliin määräaikaiseen sähkösopimukseen tulee siis siitä, että Joustosähkössä on joustava hintaosuus (kulutusvaikutus), joka perustuu pohjoismaiseen pörssisähkön hintaan. Pörssisähkösopimuksissa nimittäin sähkön hinta määräytyy sähköpörssi Nord Poolissa. Sähkön hinta on pörssissä korkeimmillaan silloin kun sähkön kulutusta on eniten, tyypillisesti arkisin kello 07–09. Halvimmat hinnat puolestaan ovat öisin kello 02–04.
Kulutusvaikutus tulee siitä, että kun pystyt siirtämään mahdollisimman paljon sähkönkulutusta edullisille kellonajoille, voit vaikuttaa sähkölaskusi suuruuteen. Toisin sanoen, jos käytät sähköä tasaisesti sekä edullisten että kalliiden kellonaikojen aikana, kulutusvaikutus on 0 snt/kWh, eli sähkösi maksaa pelkästään lähtöhinnan verran.
Kaikki muut suomalaiset -ilmiö
Kun kulutat sähköä silloin kuin suurin osa muistakin suomalaisista käyttää sähköä, hintasi nousee kulutusvaikutuksen mukaisesti. Mutta jos pystyt ohjaamaan kulutustasi yöajalle ja viikonloppuihin, saat sähkösi edullisemmin. Käyttämällä sähköä silloin kuin muut nukkuvat, säästät sähkölaskussasi kulutusvaikutuksen verran. Esimerkiksi jo se, että siirrät sähkösaunomisesi myöhempään ajankohtaan auttaa sinua saavuttamaan kulutusvaikutusta; sauno siis mieluummin klo 20 alkaen, kuin klo 19.
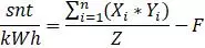
Miten kulutusvaikutus lasketaan?
Laskemme kulutuksesi keskihinnan, kertomalla jokaisen aikajakson pörssihinnan vastaavan aikajakson kulutuksellasi. Jaamme tämän tulon kuukauden kokonaiskulutuksellasi. Sinun painotettu keskiarvosi ja kuukauden keskiarvon erotus on kulutusvaikutuksesi, joka vähennetään tai lisätään laskutushintaasi.
Laskemme kuukauden keskihintaan verrattavan kulutusvaikutuksen painotetun keskiarvon seuraavasti:

∑ = laskutusjakson mittausjaksojen summa*
n = laskutusjakson mittausjaksojen lukumäärä*
X = energian kulutus mittausjaksolla (kWh)
Y = mittausjakson hinta pörssissä (snt/kWh)
Z = kokonaiskulutus laskutusjaksolla (kWh)*
F = Suomen aluehinnan keskiarvo laskutusjaksolla (snt/kWh)*
*Laskutusjakso on tyypillisesti kuukausi. Mikäli sopimus kuitenkin alkaa/päättyy kesken kuukauden, laskutusjakso on sopimusta koskevat vuorokaudet.
Oikeaan kulutukseen perustuvat esimerkit
Sähkölämmitteinen omakotitalo
Kuukauden kulutuksesi on 1 800 kWh (Z). Kulutuksesi yhteenlaskettu kokonaishinta on 17 388 senttiä (X*Y). 17 388 snt/1 800 kWh = 9,66 snt/kWh, joka on painotettu keskiarvohintasi. Pörssin kuukausikeskiarvo on ollut 11 snt/kWh.
Tällöin kulutusvaikutuksesi on 9,66–11 = –1,34 snt/kWh.
Kun kulutusvaikutuksesi on negatiivinen luku, se laskee laskutushintaasi. Esim. muuttumattomalla perushinnalla 9,90 snt/kWh laskutushintasi olisi tässä tapauksessa 8,56 snt/kWh.
Kerrostalokaksio, jossa kaukolämpö
Kuukauden kulutuksesi on 160 kWh (Z). Kulutuksesi yhteenlaskettu kokonaishinta on 1974,4 senttiä (X*Y). 1974,4 snt/160 kWh = 12,34 snt/kWh, joka on painotettu keskiarvohintasi. Pörssin kuukausikeskiarvo on ollut 11 snt/kWh.
Tällöin kulutusvaikutuksesi on 12,34–11 = 1,34 snt/kWh.
Kun kulutusvaikutuksesi on positiivinen luku, se nostaa laskutushintaasi. Esim. kiinteällä perushinnalla 10 snt/kWh laskutushintasi olisi tässä tapauksessa 11,34 snt/kWh.
Huom! Mikäli sopimus alkaa tai päättyy kesken kalenterikuukauden, kuukauden keskiarvo sekä asiakkaan kulutuksen painotettu keskiarvo lasketaan sopimusjakson mukaan. Esimerkiksi jos sähkösopimus alkaa tammikuun 15. päivä, lasketaan ensimmäisen laskutusjakson keskiarvot aikaväliltä 15.-31.1., ei koko kalenterikuukauden ajalta.

Halpa sähkö on usein ympäristöystävällisin
Tiesitkö? Silloin kun sähkö on halvimmillaan, se on myös useimmiten ympäristöystävällisintä. Halpaa sähköä nimittäin on eniten saatavilla, silloin kun tuulee paljon ja tuulivoimaa on runsaasti tarjolla. Myös oman kulutuksen ajoittaminen ajankohtiin, jolloin sähköverkon kuormitus on pienintä, on ympäristöystävällinen valinta.
Näinä ajankohtina sähkö on yleensä halvimmillaan ja käytössä on mahdollisimman vähän huonoja ja päästöjä tuottavia energiamuotoja.
Miten toimia kun määräaikainen sähkösopimus on loppumaisillaan?
Lähetämme sinulle noin 90 päivää ennen määräaikaisen sähkösopimuksesi loppumista jatkotarjouksen. Jatkotarjoustuote voi vaihdella vuodenaikojen mukaan, mutta useimmiten se on uusi määräaikainen sähkösopimus. Huomioi, että jatkotarjouskirjeessä olevan tuotteen hinta voi myös vaihtua. Kannattaa siis olla nopea ja tehdä uusi sähkösopimus heti. Ajantasaisen hinnan näet aina nettisivuillamme ja hinnastossamme. Jos et reagoi ensimmäiseen kirjeeseen, laitamme muistutuksen vielä noin kuukautta ennen sähkösopimuksesi loppumista. Tarkista siis aika ajoin sähköpostisi!
Valitse aktiivisesti itse seuraava sopimuksesi, tai päädyt toistaiseksi voimassa olevalle sähkösopimukselle
Jos et itse aktiivisesti valitse ja tee uutta sähkösopimusta kanssamme, kun määräaikainen sähkösopimuksesi on loppumassa, päädyt meidän toistaiseksi voimassa olevalle Kvartaalisähkö-sopimuksellemme. Kvartaalisähkön hinta on kiinteä aina kolme kuukautta kerrallaan ja se vaihtuu neljä kertaa vuodessa, eli kvartaaleittain. Kvartaalisopimuksen sähkön hinta tarkistetaan siis kolmen kuukauden välein ja sitä voidaan nostaa tai laskea markkinahintojen mukaisesti. Toistaiseksi voimassa olevan sähkösopimuksen irtisanomisaika on 14 päivää, joten pääset tästä sopimuksesta helposti eroon tarvittaessa. Voit myös tehdä uuden sähkösopimuksen toisen sähkönmyyjän kanssa, jolloin sinun sähkösopimuksesi automaattisesti jatkuu uudella myyjällä, kun määräaikainen sopimuskautesi meillä loppuu.

Keravan Energia -sovellus
Keravan Energia -sovelluksessa voit seurata pörssisähkön hintoja, joka auttaa sinua mm. siirtämään kulutustasi halvemmille kellonajoille. Näet myös oman kulutuksesi ja sähkölaskusi ja voit tarkistaa sopimustietosi.
Sovelluksemme on ladattavissa Android- ja Apple-puhelimiin sovelluskaupastasi.
Miksi valita Keravan Energia?
Kokonaisvaltaisesti energiaa
Tarjoamme sinulle sähköverkon ja kaukolämmön ratkaisuja sekä sähkösopimuksia, aurinkopaneeleja, ilmalämpöpumppuja ja latausasemia.
Asiakkaidemme omistama
Omistajamme ovat Keravan kaupunki ja Sipoon kunta. Tavoitteemme on parantaa alueemme hyvinvointia kilpailukykyisten hintojen kautta.
Lähes 120 vuoden kokemuksella
Olemme moderni energiayhtiö, jonka historia ulottuu vuoteen 1906. Pitkä kokemus tuo asiantuntemusta, joka on sinun käytettävissäsi.
Monipuolinen valikoima
Kehitämme tuotevalikoimaamme jatkuvasti ja tarjoamme sinulle aina ajanmukaisimmat tuotteet ja palvelut.
